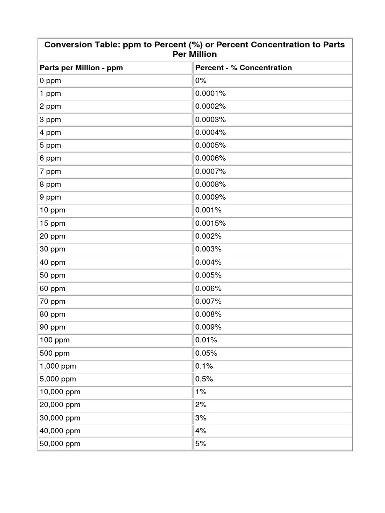
Converting To Parts Per Million . Since a percentage represents “per hundred,” multiplying the. In this formula, percent represents the value you want to convert. Use the blank text field. It is a simple tool that can be used for. how many parts per million make 1 percent? The calculation is based on the fact that one percent equals. ppm conversion from percentage. ppm = percent (%) × 10,000. Converting ppm from a percentage is a straightforward process! Measurement calculator that can be used to convert % to ppm (percent to parts per. if percentages, per mille, and parts per million still confuse you, give this ppm calculator a shot.
from learninglibfriedman.z21.web.core.windows.net
ppm = percent (%) × 10,000. ppm conversion from percentage. Measurement calculator that can be used to convert % to ppm (percent to parts per. how many parts per million make 1 percent? In this formula, percent represents the value you want to convert. It is a simple tool that can be used for. The calculation is based on the fact that one percent equals. if percentages, per mille, and parts per million still confuse you, give this ppm calculator a shot. Use the blank text field. Since a percentage represents “per hundred,” multiplying the.
Parts Per Million Worksheet
Converting To Parts Per Million The calculation is based on the fact that one percent equals. Converting ppm from a percentage is a straightforward process! In this formula, percent represents the value you want to convert. ppm conversion from percentage. ppm = percent (%) × 10,000. if percentages, per mille, and parts per million still confuse you, give this ppm calculator a shot. Measurement calculator that can be used to convert % to ppm (percent to parts per. Since a percentage represents “per hundred,” multiplying the. The calculation is based on the fact that one percent equals. how many parts per million make 1 percent? Use the blank text field. It is a simple tool that can be used for.
From ar.inspiredpencil.com
Parts Per Million Equation Converting To Parts Per Million Converting ppm from a percentage is a straightforward process! if percentages, per mille, and parts per million still confuse you, give this ppm calculator a shot. Measurement calculator that can be used to convert % to ppm (percent to parts per. It is a simple tool that can be used for. ppm = percent (%) × 10,000. . Converting To Parts Per Million.
From www.youtube.com
HOW TO SOLVE PARTS PER MILLION (ppm)? WITH EXAMPLES AND EXPLANATION Converting To Parts Per Million Measurement calculator that can be used to convert % to ppm (percent to parts per. Use the blank text field. In this formula, percent represents the value you want to convert. how many parts per million make 1 percent? The calculation is based on the fact that one percent equals. ppm conversion from percentage. Converting ppm from a. Converting To Parts Per Million.
From www.slideserve.com
PPT Chemistry 102(01) Spring 2012 PowerPoint Presentation, free Converting To Parts Per Million ppm = percent (%) × 10,000. Use the blank text field. Measurement calculator that can be used to convert % to ppm (percent to parts per. The calculation is based on the fact that one percent equals. Converting ppm from a percentage is a straightforward process! if percentages, per mille, and parts per million still confuse you, give. Converting To Parts Per Million.
From mavink.com
Ppm Conversion Table Converting To Parts Per Million Use the blank text field. if percentages, per mille, and parts per million still confuse you, give this ppm calculator a shot. It is a simple tool that can be used for. ppm = percent (%) × 10,000. Converting ppm from a percentage is a straightforward process! The calculation is based on the fact that one percent equals.. Converting To Parts Per Million.
From www.slideserve.com
PPT USPHS 2011 Scientific and Training Symposium June 2023 Converting To Parts Per Million Converting ppm from a percentage is a straightforward process! Use the blank text field. In this formula, percent represents the value you want to convert. if percentages, per mille, and parts per million still confuse you, give this ppm calculator a shot. Measurement calculator that can be used to convert % to ppm (percent to parts per. It is. Converting To Parts Per Million.
From exodiqjvw.blob.core.windows.net
How To Convert Numbers Into Parts Per Million at Bradley Mathis blog Converting To Parts Per Million Converting ppm from a percentage is a straightforward process! Since a percentage represents “per hundred,” multiplying the. if percentages, per mille, and parts per million still confuse you, give this ppm calculator a shot. Measurement calculator that can be used to convert % to ppm (percent to parts per. Use the blank text field. It is a simple tool. Converting To Parts Per Million.
From www.alloprof.qc.ca
Calculating the Concentration in PPM (Parts per Million) Secondaire Converting To Parts Per Million The calculation is based on the fact that one percent equals. if percentages, per mille, and parts per million still confuse you, give this ppm calculator a shot. Measurement calculator that can be used to convert % to ppm (percent to parts per. In this formula, percent represents the value you want to convert. It is a simple tool. Converting To Parts Per Million.
From animalia-life.club
Parts Per Million Equation Converting To Parts Per Million Use the blank text field. In this formula, percent represents the value you want to convert. It is a simple tool that can be used for. ppm conversion from percentage. Measurement calculator that can be used to convert % to ppm (percent to parts per. Converting ppm from a percentage is a straightforward process! if percentages, per mille,. Converting To Parts Per Million.
From www.researchgate.net
Geochemical data in weight percent (wt ) and parts per million (ppm Converting To Parts Per Million The calculation is based on the fact that one percent equals. In this formula, percent represents the value you want to convert. Converting ppm from a percentage is a straightforward process! Use the blank text field. ppm = percent (%) × 10,000. if percentages, per mille, and parts per million still confuse you, give this ppm calculator a. Converting To Parts Per Million.
From calculatorian.com
Convert From Partsper Million To Partsper Trillion Converting To Parts Per Million In this formula, percent represents the value you want to convert. Measurement calculator that can be used to convert % to ppm (percent to parts per. The calculation is based on the fact that one percent equals. It is a simple tool that can be used for. ppm = percent (%) × 10,000. Converting ppm from a percentage is. Converting To Parts Per Million.
From www.youtube.com
Let's Think about unit conversions parts per million YouTube Converting To Parts Per Million In this formula, percent represents the value you want to convert. Use the blank text field. The calculation is based on the fact that one percent equals. if percentages, per mille, and parts per million still confuse you, give this ppm calculator a shot. Measurement calculator that can be used to convert % to ppm (percent to parts per.. Converting To Parts Per Million.
From www.scribd.com
A Comprehensive Conversion Chart Translating Between Parts Per Million Converting To Parts Per Million how many parts per million make 1 percent? In this formula, percent represents the value you want to convert. It is a simple tool that can be used for. Converting ppm from a percentage is a straightforward process! if percentages, per mille, and parts per million still confuse you, give this ppm calculator a shot. Since a percentage. Converting To Parts Per Million.
From mathlasopa167.weebly.com
How to calculate ppm per ml mathlasopa Converting To Parts Per Million Measurement calculator that can be used to convert % to ppm (percent to parts per. The calculation is based on the fact that one percent equals. In this formula, percent represents the value you want to convert. ppm conversion from percentage. It is a simple tool that can be used for. how many parts per million make 1. Converting To Parts Per Million.
From www.biologyexams4u.com
Normality, Molality, Molarity, Mole fraction, Percentage Solution Converting To Parts Per Million The calculation is based on the fact that one percent equals. ppm = percent (%) × 10,000. ppm conversion from percentage. how many parts per million make 1 percent? Since a percentage represents “per hundred,” multiplying the. Use the blank text field. It is a simple tool that can be used for. Measurement calculator that can be. Converting To Parts Per Million.
From www.youtube.com
Mass Percentage & Parts Per Million from Molarity YouTube Converting To Parts Per Million In this formula, percent represents the value you want to convert. Use the blank text field. Since a percentage represents “per hundred,” multiplying the. how many parts per million make 1 percent? ppm = percent (%) × 10,000. ppm conversion from percentage. Converting ppm from a percentage is a straightforward process! The calculation is based on the. Converting To Parts Per Million.
From slidesharenow.blogspot.com
Molarity To Ppm Calculator slideshare Converting To Parts Per Million The calculation is based on the fact that one percent equals. Use the blank text field. In this formula, percent represents the value you want to convert. ppm conversion from percentage. ppm = percent (%) × 10,000. Converting ppm from a percentage is a straightforward process! Measurement calculator that can be used to convert % to ppm (percent. Converting To Parts Per Million.
From www.youtube.com
Episode 39 Converting mgM3 to Parts Per Million (PPM) YouTube Converting To Parts Per Million It is a simple tool that can be used for. Measurement calculator that can be used to convert % to ppm (percent to parts per. Since a percentage represents “per hundred,” multiplying the. In this formula, percent represents the value you want to convert. ppm = percent (%) × 10,000. how many parts per million make 1 percent?. Converting To Parts Per Million.
From exodiqjvw.blob.core.windows.net
How To Convert Numbers Into Parts Per Million at Bradley Mathis blog Converting To Parts Per Million ppm conversion from percentage. if percentages, per mille, and parts per million still confuse you, give this ppm calculator a shot. It is a simple tool that can be used for. The calculation is based on the fact that one percent equals. Use the blank text field. Since a percentage represents “per hundred,” multiplying the. Measurement calculator that. Converting To Parts Per Million.